Перевод статьи о презентации VW Passat B3 от бельгийского автомобильного журнального издания Le Moniteur de l’Automobile, № 897, Апрель, 1988.
МАНИЯ ВЕЛИЧИЯ
Полное обновление VW Passat было продиктовано суверенным императивом: быть максимально рациональным. В понимании VW современность немыслима без рациональности, и это не единственная точка расхождения с Audi.
Пока в Ингольштадте изо всех сил стараются делать автомобили все более притягательными, VW рассудительно проектирует Passat с твердым намерением предложить своим клиентам «максимум» в рамках заданных габаритов и цены: максимум комфорта, безопасности, аэродинамики, объема багажника, оснащения, практичности, экономичности и простора. Языком цифр новый Passat подтверждает множество преимуществ, превосходя даже лучшие образцы конкурентов. Со стороны производителя, создавшего Golf/Jetta, чья концепция до сих пор считается эталонной, в этом нет ничего удивительного. Компактность, идеальная развесовка и — впервые для Passat — поперечное расположение силового агрегата. Кузов спроектирован с целью достижения оптимальной обтекаемости: коэффициент лобового сопротивления Сх составляет 0,29 при площади фронтальной проекции SCx 0,61. Двигатели заимствованы из отлично зарекомендовавшего себя семейства VW 1.8.
Шасси разработано так, чтобы обеспечить ходовые качества и вместимость салона, достойные современного седана... Да, стоит сказать сразу: между старым и новым Passat нет ничего общего, кроме названия. Сравнивать новинку, решительно опередившую свое время в нескольких областях, с предшественником, столь же решительно от него отставшим — напрасный труд. В плане простора салона автомобиль перепрыгнул сразу через два класса. Переосмыслено и заменено абсолютно все, от электропроводки до системы отопления.

На официальной презентации в Ницце было раскрыто немного секретов: присутствовавшие официальные лица продемонстрировали строжайшую невозмутимость. О перспективных моторах с компрессором, о V6, дизелях и эволюции системы полного привода Syncro не удалось получить никаких уточнений по этим животрепещущим темам. Никаких комментариев по поводу технических решений, принятых VW. Словом, лишь некоторые детали конструкции, которые мы приводим здесь в исчерпывающем виде, немного коммерческой информации для позиционирования продукта и сотня-другая километров за рулем 112-сильной версии 1.8i в окрестностях Ниццы — легкая разминка перед подробным тестом этой же модификации в нашем следующем номере.
Super Jetta
Volkswagen использует наработки, внедренные на Golf/Jetta, сохраняя ту же философию и базовые решения, которые принесли марке нынешний колоссальный успех. Выпускаемый исключительно в кузове с отдельным багажником (или «трехобъемник», если угодно), Passat является, своего рода, более крупной и современной Jetta: многообещающее родство. И, разумеется, в версии универсал: в последние два года продажи прежних Passat практически полностью держались именно на универсалах. Таким образом, от пятидверного «двухобъемника» отказались — сегодня такой тип кузова считается слишком невыгодным с точки зрения имиджа и совершенно немодным. Недавнее исследование европейской клиентуры выявило четкое предпочтение в категории автомобилей уровня Passat именно трехобъемным кузовам: около 65% против менее чем 20% у хэтчбеков и 15% у универсалов. Не говоря уже о том, что тяга к традиционным четырехдверным седанам в последние годы только усиливается, а универсалы вскоре могут даже потеснить пятидверные версии по объему продаж. Нужно признать, что новейшим седанам, таким как Renault 21, Opel Omega или этот VW Passat, удается перенять часть преимуществ универсальности хэтчбеков благодаря раздельной складной спинке заднего сиденья, предлагая трансформируемый и очень внушительный по длине грузовой отсек. Линии трехобъемного кузова, более серьезные и сдержанные, сильнее привлекают традиционную клиентуру седанов этого класса.
Passat окончательно расстался со своим последним наследием Audi — расположением двигателя в переднем свесе — и выбрал, по аналогии с Golf и Jetta, поперечную компоновку. С производственной точки зрения это несет определенные неудобства, влияющие на себестоимость: для конструктивно схожих агрегатов приходится выпускать разные коробки передач — одну для Audi, стыкующуюся соосно с продольным мотором, другую для VW, расположенную сбоку от поперечного двигателя. К тому же механизм выбора передач теперь различается: Passat получил тросовый привод, оставив Audi в одиночестве с ее сложной системой тяг. Если продолжить эту игру «найди фундаментальное различие» в технике двух марок, входящих в концерн Volkswagen AG, возникают по-настоящему интересные вопросы. ABS: от Bosch, отключаемая и вдвое более дорогая для Audi, или система Teves, предпочтенная VW? Гальванизация кузова: полная или только 60% панелей, как у Passat? Система Quattro с тремя дифференциалами и двумя блокировками (одним Torsen и одной ручной) или система Syncro с вискомуфтой Фергюсона в роли межосевого дифференциала и блокировки? Пять цилиндров или 16 клапанов, а в ближайшем будущем — 6 цилиндров? И не забудьте главный вопрос: продольное или поперечное расположение мотора?
Эта разрозненность, заставляющая концерн принимать довольно странные индустриальные решения, объясняется двумя причинами. Во главе исследовательских центров VW и Audi стоят два человека, Фиала с одной стороны и Фердинанд Пих с другой, обладающие равной степенью гениальности и упрямства. Каждый из них навязывает свою волю, втайне надеясь, что «другой» ошибается. И главное: внутри Volkswagen AG три бренда — Audi, VW и Seat — призваны атаковать разные рыночные ниши (соответственно верхний, средний и нижний ценовые сегменты) с помощью четко разграниченных продуктов. Разве не жизненно важно для выживания группы, чтобы Audi ни в коем случае не путали с VW или Seat, сохраняя имидж и престиж для завоевания премиального рынка? Тому, что Audi 80 максимально не похожа на VW Passat, в Volkswagen AG только рады: чем сильнее они конкурировали бы, тем больше затеняли бы друг друга. В классе автомобилей длиной 4,50 метра кто додумается сравнивать Renault 21 или Toyota Camry с BMW 318 или Mercedes 190? Бюджеты, а главное имидж продукта и тип клиентуры слишком различны, что и разводит Audi 80 и Passat по разным углам.
Если Passat и перенес свой двигатель из продольного переднего свеса в поперечное положение, то сделано это было не ради забавы и не для того, чтобы подлить масла в огонь междоусобной борьбы с инженерами из Ингольштадта. VW в своем пресс-релизе детально разъясняет все преимущества такой компоновки (не забывая при этом подколоть Audi). Двигатель занимает меньше места, что позволяет сделать капот короче (компактность) и ниже (аэродинамика). Расположенный не перед передней осью, а закрепленный за ней, он обеспечивает лучшую развесовку по осям и позволяет избавиться от одного из главных недостатков Audi — «тяжелого носа», провоцирующего клевки при торможении и приседания при разгоне. При умеренных внешних габаритах и коротких свесах Passat получает возможность по максимуму использовать пространство внутри салона. Немецкие инженеры сделали это своим приоритетом. Магическое число, возглавляющее список характеристик — 2001 мм: это впечатляющее расстояние от педали акселератора до спинки заднего сиденья. Эта величина даже больше, чем у автомобилей классом выше: Volvo 740/760, Audi 100, Mercedes W124... О «прямых» конкурентах и говорить не стоит: на этом фоне их салоны кажутся до смешного тесными. Первое же знакомство с интерьером Passat подтверждает расчеты: запас места для ног просто гигантский, кажется, даже больше, чем в Ford Scorpio, Renault 21 или Opel Omega — трех последних эталонах вместимости. Уже сейчас в этом новом большом VW отмечаешь интересные детали: подушки раздельного заднего сиденья могут сдвигаться вперед-назад на 8 см, а спинки отклоняться примерно на 5 см. Но есть и два разочарования: посреди этого заднего дивана, способного по ширине и высоте без проблем принять троих рослых седоков, имеется выступ, который приподнимает посадку и мешает спине центрального пассажира. Водитель же, хоть и порадован наличием площадки для левой ноги, хорошим профилем кресла и регулируемым по высоте рулем, столкнется с трудностями в поиске идеальной посадки — педальный узел кажется слишком удаленным. Не переборщили ли они с миллиметрами в длину?
Первый визуальный контакт с Passat рождает неоднозначные чувства. Снаружи все согласны с относительной элегантностью этого современного и рационального дизайна. Но за рамками субъективных оценок интерьер кажется многим недостаточно жизнерадостным и малооригинальным. Однако главное здесь — ощущение качества и современности: качество — это постоянная забота VW, и даже извилистые дороги юга Франции не смогли расшатать элементы отделки. Дизайн передней панели и комбинации приборов выглядит солидно; крупные шкалы, шрифт спидометра и встроенных цифровых часов напоминают оригинальную Volvo 480 ES. Напротив, форма кнопок и переключателей, как и рулевого колеса, «абсолютно феноменальна», а качество ткани обивки сидений показалось нам сомнительным. В плане дизайна и отделки у Audi все еще имеется солидный запас изобретательности и качества. Наконец-то покончено с ползунками управления отопителем: три изящные вращающиеся рукоятки работают с приятным усилием («маслянисто»), позволяя легко дозировать поток воздуха из многочисленных дефлекторов. Маленький шаг вперед и в плане музыки: аудиосистема установлена аккуратно, с 4 динамиками хорошего качества, но... она слишком бросается в глаза. В больших городах стоит быть осторожнее! Также замечаешь, что количество ниш в дверях, на центральной консоли и в передней панели таково, что семье иллюзионистов хватило бы места спрятать весь свой реквизит. Впечатляет.
Сила сантиметров, тяжесть килограммов
Колесная база, колея, ширина, высота — все было вытянуто до максимума, чтобы предоставить пассажирам и их багажу наибольшее число доступных сантиметров. Заботясь о шумоизоляции, инженеры VW пристально следили за жесткостью кузова: ни малейшего звука, скрипа или скрежета не нарушает впечатляющую тишину в салоне, независимо от скорости или состояния покрытия. VW, как и все современные производители, уделяет огромное внимание сопротивлению кузова на кручение и вибрациям, дабы исключить посторонние шумы. Именно этим объясняется, почему Peugeot, к примеру, предпочла глухую панель между задними фонарями, нескладное заднее сиденье и широкие задние стойки крыши для усиления жесткости модели 405. Это же объясняет и тот факт, что снаряженная масса крупного Passat составляет от 1100 до 1200 кг... Пока листовую сталь в производстве автомобилей не заменит другой материал, проблемы веса неизбежны: лишние 150 кг металла, шумоизоляции и оборудования (поскольку VW предусмотрел для своего седана высокий уровень оснащения), к сожалению, неминуемо скажутся на динамике. А учитывая, что передаточные числа в трансмиссии были растянуты ради достижения более высокой максимальной скорости (ставшей возможной благодаря лучшей аэродинамике), можно ожидать худшего в плане разгона и, особенно, эластичности. Первый пример: 90-сильная версия, ранее разгонявшаяся до 100 км/ч за 11,2 секунды, теперь по паспорту требует 13,8 с. Нужно 112 л.с., чтобы вернуться к 11,2 с, а 136-сильному 16-клапаннику официально требуется 10 секунд. Первые десятки километров по горным дорогам средиземноморского побережья, во всяком случае, выявили недостаток азарта и напора 112-сильного мотора, который при этом является образцом гибкости и резвости на Golf GTI и Jetta GTX. И это называется прогрессом?
Тем не менее, если не считать рулевого управления с классическим усилителем, лишающим водителя точного чувства дороги, и некоторых проблем с настройкой тросового привода КПП на нашем тестовом экземпляре, новый Passat за эти несколько километров по-настоящему нас покорил. Его сильные стороны — это, безусловно, комфорт и ходовые качества. Передняя подвеска впечатлила своей эффективностью: очень цепкая, она позволяет проходить повороты действительно быстро и легко, при этом типичная для переднего привода склонность к недостаточной поворачиваемости очень хорошо ограничена. Стоит сказать, что кинематика подвески рассчитывалась с помощью высокопроизводительной компьютерной программы ISSAK, разработанной VW. Это позволило установить между треугольными рычагами стоек McPherson (схожих с Golf/Jetta) и подрамником специальные резиновые демпферы, изолирующие кузов от дорожных шумов без ущерба для точности управления. Также это позволило разработать для сайлентблоков задних рычагов подвески особую форму. Под воздействием боковых сил в повороте они не дают балке перекашиваться и заставляют ее при сильных нагрузках доворачиваться в сторону виража, имитируя систему со всеми управляемыми колесами. Задние колеса, работая «в фазе» с передними, пресекают любые вольности кормы: нет ни малейшего намека на занос, даже если совершить ошибку — например, резко сбросить газ на дуге. Огромный прогресс в области активной безопасности. Уверенно стоя на 14-дюймовых дисках с шинами 65-й серии (для версий 90 и 112 л.с.), обладая широкой колеей и внушительной базой, будучи поджатым мощными стабилизаторами спереди и сзади, Passat поворачивает и тормозит безупречно. «Чудо-шасси» этого Passat реализует один из лучших на сегодня компромиссов между плавностью хода и контролем перемещений кузова, между эффективностью управления и пассивной безопасностью. Для семейного автомобиля это, несомненно, весомый аргумент.
Воздушное отверстие
Никаких «рекордных» Сх, никаких излишне гнутых стекол, как у Audi (создающих эффект парника для пассажиров при малейшем луче солнца), никаких резиновых наростов. Чтобы достичь коэффициента 0,29 (увеличивающегося до 0,34 для универсала), VW использовал только элегантные решения: вклеенные заподлицо стекла, отсутствие водосточных желобов, профилированные зеркала и оптимизированное охлаждение двигателя. Напомним, что одна из самых забавных особенностей этого Passat — отверстие для забора воздуха, расположенное прямо в эмблеме VW в центре решетки радиатора. Еще одна оригинальность, касающаяся повседневной эксплуатации — центральный замок. Во-первых, для защиты от угона система блокирует кнопки дверей так, что их невозможно вытянуть вверх, если замок закрыт снаружи. Наконец, при запирании дверей электропривод автоматически закрывает все окна, которые могли остаться открытыми. Этот электропривод, кстати, критиковали в профильной прессе за неудачное расположение кнопок на двери. VW обещал оперативно это исправить. Будем надеяться, в завершение, что немцы столь же быстро пересмотрят подбор передаточных чисел в коробке передач, которые изрядно сковывают потенциал 112-сильного мотора. Ситуация доходит до абсурда во Франции: налоговая мощность 90-сильной версии установлена на уровне 8 л.с. (CV), в то время как для 112-сильной версии, стоящей гораздо дороже, она составляет 7 л.с. (CV).
ТЕХНИЧЕСКИЕ И ДИНАМИЧЕСКИЕ ХАРАКТЕРИСТИКИ VW PASSAT 1.8 В СРАВНЕНИИ С КОНКУРЕНТАМИ
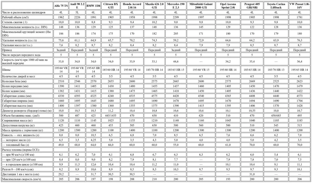
ТЕХНИЧЕСКИЕ И ДИНАМИЧЕСКИЕ ХАРАКТЕРИСТИКИ VW PASSAT 1.8 16V В СРАВНЕНИИ С КОНКУРЕНТАМИ