Журнальный тест 1986-ого Mercedes W201 190E 2.3-16 vs BMW E30 Alpina C2 2.7 vs Ford Sierra RS Cosworth vs BMW E30 M3 (Le Moniteur de l’Automobile)

Опубліковано: 20 грудня 2025р. 20:20
Я їжджу на Volkswagen Jetta II
Одеса, Україна

Перевод теста-сравнения Mercedes W201 190E 2.3-16 vs BMW E30 Alpina C2 vs Ford Sierra Cosworth vs BMW E30 M3 от бельгийского автомобильного журнального издания Le Moniteur de l’Automobile, № 862, Декабрь, 1986.


НОВОЕ ПОКОЛЕНИЕ СПОРТИВНЫХ АВТОМОБИЛЕЙ


Десять лет назад Volkswagen изобрел GTI. Сегодня уже и другие немецкие автопроизводители создают новую категорию спортивных машин, построенных на базе компактных седанов. На ступень выше BMW M3, Sierra Cosworth и 190 с 16-клапанным двигателем также защищают имидж своих марок. Однако Alpina уже очень давно и малыми партиями выпускает автомобили подобного типа. Чтобы почтить эту роль первопроходца, присутствие C2, модели начального уровня в линейке марки, было просто необходимым.



Новое поколение седанов рождается в том числе благодаря автоспорту. BMW M3 и Sierra RS Cosworth действительно разрабатывались специально с прицелом на последующее участие в кольцевых гонках или ралли. Но спортивный регламент обязывает производителей выпускать за один год 5000 экземпляров модели, предназначенной для сражений на трассе. Чтобы суметь их реализовать, создатели волей-неволей вынуждены думать и об их дорожной эксплуатации. Этого не требовалось, например, от монстров канувшей в лету группы B, которые производились в малых количествах (200 экземпляров) и чье коммерческое будущее не имело значения. Таким образом, будущие звезды европейского чемпионата среди легковых автомобилей, коими являются BMW M3 и Sierra Cosworth, — это почти гоночные машины, адаптированные для дорог общего пользования, что наделяет их совершенно особыми способностями, несмотря на облик седанов.


Тем не менее, задолго до того как BMW и Ford представили свои модели, Mercedes решился на своего рода пари: создать спортивный автомобиль на базе 190, чтобы доказать свое мастерство в непривычной для себя дисциплине. В данном случае автоспорт, вероятно, не принимался в расчет при составлении технического задания. Тем не менее, для первой попытки это был мастерский ход. Но если кто и является первопроходцем в этой категории, так это Alpina. Маленький баварский производитель уже очень давно превращает BMW в подлинные и грозные спортивные снаряды. И хотя C2 является лишь первой моделью в гамме, венчаемой на данный момент B7 Turbo — 5-й серией, достигающей скорости более 270 км/ч, она достаточно вооружена, чтобы противостоять топовым моделям крупных автогигантов.


ОБЩАЯ КОНЦЕПЦИЯ


Четыре седана с 2 или 4 дверями, чьи высокотехнологичные двигатели выдают от 185 до 210 л. с. Для достижения таких показателей конструкторы использовали самые изысканные технические решения: комплексные электронные системы управления, 16-клапанные головки блока, турбокомпрессоры с водяным охлаждением и многое другое. Поэтому может вызвать некоторое удивление тот факт, что все эти блестящие агрегаты сочетаются с архаичными схемами трансмиссии. Все четверо имеют одинаковую архитектуру: продольное расположение двигателя спереди, привод на задние колеса. Ни одного полноприводного автомобиля, что кажется странным в этой категории, где усилия инженеров направлены прежде всего на эффективность. Одно из объяснений, несомненно, кроется в убежденности, что задний привод — лучший выбор для машины мощностью около 300 л. с., предназначенной для гонок на кольце.


Заниженный кузов, специфическая геометрия — подвескам этих четырех спорткаров, очевидно, было уделено самое пристальное внимание. Все четверо используют переднюю подвеску типа McPherson, но с более или менее существенными различиями в адаптации этого принципа. Sierra, например, единственная лишена нижних треугольных рычагов. Что касается задней части, известно, что Mercedes использует пятирычажную подвеску, которая творит чудеса, в то время как остальные три оснащены косыми рычагами. Прежде чем переходить к деталям, можно уточнить, что самая длинная — Sierra — имеет длину 4,45 м, самая короткая — Alpina (4,32 м), и эта иерархия соблюдается по ширине и высоте: соответственно 1,72 и 1,64 м, затем 1,37 и 1,35 м. На весах самой легкой оказывается Alpina (1190 кг), опережая Sierra (1231), BMW M3 (1255) и 190 (1307).


ДВИГАТЕЛЬ


Перед нами 4 крайне детально проработанных агрегата. Будь то четыре или шесть цилиндров, все они имеют чугунный блок и легкосплавную головку, расположены продольно и, разумеется, имеют жидкостное охлаждение.



BMW M3: Когда она была представлена во Франкфурте в октябре 1985 года, BMW M3 стала объектом многочисленных комментариев. Удивление вызвало, в частности, то, что мюнхенская марка, ставшая мастером в искусстве создания 6-цилиндровых моторов, довольствовалась оснащением своей BMW M3 обычным четырехцилиндровиком. Объяснение кроется исключительно в спортивном будущем этой новой BMW, которая с самого начала проектировалась с прицелом на участие в европейском чемпионате среди легковых автомобилей. Техники Motorsport, гоночного подразделения компании, посчитали, что в этом классе рабочего объема (менее 2,5 литров) четырехцилиндровый двигатель обладает, с одной стороны, лучшими характеристиками крутящего момента на средних оборотах благодаря большему объему одного цилиндра, а с другой стороны, благодаря более короткому коленвалу, лучше сопротивляющемуся кручению, такая архитектура больше подходит для высоких оборотов, превышающих 9000.


Речь идет о блоке, появившемся на седане 1500 в начале 60-х годов, который уже прошел через бесчисленные доработки в спорте: в кузовных гонках, в Формуле-2 и, прежде всего, в Формуле-1. Надежность этого чугунного элемента вне всяких подозрений, а его рабочий объем удалось довести до 2303 см³ — максимума, допускаемого конструкцией блока. Цилиндры были сближены без межцилиндровых каналов охлаждения для получения диаметра 93,4 мм, что попутно способствует жесткости; ход поршня составляет 84 мм. 16-клапанная головка блока напрямую заимствована у 3,5-литрового двигателя моделей M5 и M 635. Она имеет два распредвала с приводом двухрядной цепью, которые воздействуют на клапаны через тарельчатые толкатели, механические. Степень сжатия составляет 10,5, а управление зажиганием и питанием поручено эффективной системе Bosch Motronic. Опять же, с расчетом на будущие спортивные доработки, где этот двигатель будет выдавать 300 л. с., системе смазки уделили особое внимание. Картер оригинальный, из литого легкого сплава, оснащен перегородками, а за спойлером установлен масляный радиатор. Но если будущее BMW M3 на трассах заняло главенствующее место в техзадании, инженерам также пришлось учитывать новые экологические нормы. Нужно отметить идеальную адаптацию этого двигателя к жестким требованиям катализатора. С этим аксессуаром потеря мощности составляет всего 5 л. с., что является исключительным результатом для атмосферного мотора. В рассматриваемой версии он развивает 200 л. s. при 6750 об/мин и выдает крутящий момент 240 Нм при 4750 об/мин.


Ford Sierra RS Cosworth: Оттолкнувшись от чугунного блока из линейки Ford, компания Cosworth также разработала двигатель, основной целью которого были гонки. Но если BMW, вероятно, придется довольствоваться борьбой за победы в своем классе рабочего объема, Ford, выбрав турбомотор, может претендовать на победу в общем зачете. С учетом турбонаддува и из-за коэффициента эквивалентности между атмосферными и наддувными двигателями, который составляет 1,4 до конца 1987 года, Ford пришлось выбрать объем 2 литра, а именно 1993 см³, полученные при диаметре цилиндра 90,8 мм и ходе поршня 76,9 мм. Для разработки этого двигателя Cosworth сохранила только блок, водяной насос и его приводной вал, все остальные детали оригинальные, начиная с головки блока. Выполненная из сплава, она также имеет два распредвала с ременным приводом, отвечающих за управление двумя рядами по 8 клапанов через гидротолкатели; эта деталь выглядит как уступка гоночного автомобиля серийному. Действительно, гидротолкатели снижают частоту обслуживания этой части двигателя, что могут оценить обычные пользователи Sierra Cosworth. Из-за наддува степень сжатия установлена на уровне 8:1 путем применения кованых алюминиевых поршней Mahle с выемкой в днище. Масло здесь проходит через водомасляный теплообменник, стабилизирующий температуру как в горячем, так и в холодном состоянии. Картер отлит из легкого сплава, а масляные форсунки охлаждают днища поршней при каждом прохождении нижней мертвой точки.


Питание и зажигание управляются совместно с контролем давления наддува системой Marelli-Weber. Отметим попутно, что это первый случай на серийном автомобиле, когда электронное устройство управляет этими тремя факторами одновременно. Механические характеристики этого великолепного мотора таковы, что давление наддува удалось ограничить относительно небольшим значением 0,7 бар. Это выражается в большой эластичности, характеризующейся практически полным отсутствием турбопаузы. Турбокомпрессор Garrett T3 имеет жидкостное охлаждение, а температура воздуха наддува снижается со 110 до 55 градусов после прохождения через интеркулер типа воздух-воздух. Словом, маленький двухлитровый мотор развивает 204 л. с. при 6000 об/мин, а его максимальный крутящий момент 276 Нм достигается при 4500 об/мин. Если кажется, что пик кривой момента расположен на высоких для турбомотора оборотах, следует уточнить, что, по данным производителя, 80% максимального значения доступно уже с 2300 и вплоть до 6500 об/мин.


Alpina C2 2.7: В противовес четырехцилиндровым моторам Alpina предлагает шестицилиндровый агрегат, построенный на базе 2,7-литрового двигателя серии eta от BMW. Летом 1985 года мы уже предлагали вам сравнение Alpina C2 и 16-клапанного Mercedes. В то время BMW 325i еще не поступила в продажу, и Alpina опередила завод, установив этот блок в кузов 3-й серии. Та первая C2, однако, сохраняла коленвал от 323i, что определяло объем 2554 см³. Сегодня коленвал заменен, ход поршня увеличен, и объем достигает 2693 см³. Благодаря этому мощность выросла со 185 до 210 л. с., а максимальный крутящий момент также заметно прогрессировал: с 246 Нм до 267 Нм при 4500 об/мин, что на 500 оборотов меньше, чем раньше. Почти излишне напоминать, что этот двигатель состоит из чугунного блока и легкосплавной головки. Если это единственный 6-цилиндровый мотор в данном тесте, то это также единственный мотор с классическим ГРМ: два клапана на камеру сгорания и один верхний распредвал. Это не мешает ему быть чрезвычайно ярким, как мы увидим далее. Поскольку объемы производства Alpina недостаточны для участия в гонках, техники небольшой фирмы из Бухлоэ в Баварии могут проводить кропотливую работу над каждым двигателем. Расширение и полировка впускных и выпускных каналов или балансировка низа мотора относятся к разряду ремесла. Последние детали: степень сжатия 10,2, а питание и зажигание здесь также полностью управляются системой Bosch Motronic. В системе смазки также предусмотрен радиатор.


Mercedes 190 E 2.3-16: Этот автомобиль уже хорошо известен, мы имели возможность описывать его несколько раз, поэтому не будем возвращаться к деталям. Можно, однако, напомнить, что его двигатель разработан на базе 2,3-литрового агрегата, который можно найти под капотом 230 E и, с недавних пор, 190 E 2.3. Диаметр цилиндра 95,5 мм и ход поршня 80,2 мм определяют объем 2299 см³. Оригинальность этого мотора заключается в головке блока, спроектированной и произведенной в Великобритании фирмой Cosworth. Два ряда по 8 клапанов наклонены под углом 45°. Два распредвала здесь приводятся цепью, в то время как в системе питания Mercedes остается верен своей системе механического впрыска K-Jetronic с электронным управлением. Зажигание, разумеется, полностью электронное. В отличие от двигателей BMW и Ford, этот 4-цилиндровый мотор не разрабатывался с прицелом на участие в соревнованиях. Фирма из Штутгарта поначалу даже была настроена скептически, и все модели 190, заявленные на спортивные мероприятия, появлялись там благодаря частным инициативам. Сегодня двигатель 190 выглядит заметно слабее своих новых конкурентов. Он является наименее мощным в этом сравнении с показателем 185 л. с. при 6200 об/мин. Ему также больше всех не хватает крутящего момента на низких оборотах, хотя в абсолюте его 235 Нм при 4500 об/мин близки к значениям мотора BMW. Но его кривая менее наполнена, и на фоне новинки разница ощутима. Планируется эволюция с увеличением рабочего объема, но так как Mercedes и без того с трудом удовлетворяет текущий спрос, эта будущая версия рискует заставить себя ждать.


ДИНАМИЧЕСКИЕ ХАРАКТЕРИСТИКИ


От 225 км/ч для самого медленного до 238 для самого быстрого — дискуссия разворачивается на уровне, непривычном для седанов. Но перейдем сразу к делу и изучим по пунктам факторы производительности и данные, полученные нами для каждого из них.


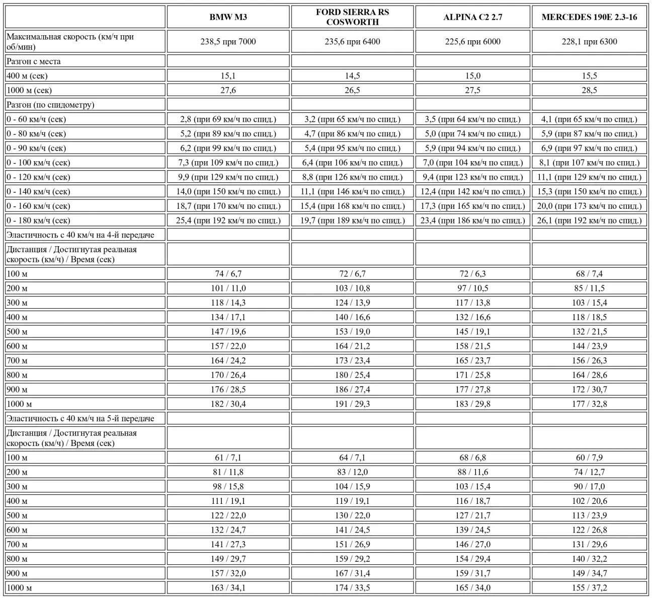
На автосалоне во Франкфурте в 1985 году 2,3-литровый 200-сильный мотор BMW M3 мало кого впечатлил, и даже высказывались мнения, что BMW просто копирует Mercedes. Ошибка: достаточно проехать несколько километров за рулем BMW M3, чтобы понять, что Мюнхену удалось превзойти Штутгарт, к чему баварский производитель, впрочем, был обязан. Более полная кривая момента и большая мощность выражаются в значительно лучшей отзывчивости агрегата. Его удельная мощность составляет почтенную величину 86,8 л. с. на литр объема, что является исключительным результатом для атмосферного двигателя. Конечно, в этой области его опережает наддувный мотор Sierra, который позволяет себе даже преодолеть магический порог в 100 л. с. на литр. Но сюрприз преподносит Alpina C2, которая, обладая самой высокой мощностью, предлагает и самое выгодное соотношение веса к мощности. С другой стороны, она обделена в плане аэродинамики, что объясняет ее отставание по максимальной скорости. С этой точки зрения BMW M3 выделяется, и здесь следует приветствовать отличную работу создателей BMW. Мощность позволяет ей компенсировать единицу SCx, которую она проигрывает Mercedes, и выйти вперед с результатом более 238 км/ч. Она опережает Sierra, которая при заявленных 240 км/ч так и не смогла превысить 235 из-за слишком рано срабатывающего ограничителя оборотов. Далее следуют Mercedes со скоростью 228 км/ч и Alpina — 225 км/ч.


При разгоне напор турбонаддува буквально оставил весь пелотон далеко позади. Sierra показывает исключительное время 14,5 и 26,5 с на дистанциях 400 и 1000 м с места. На финишной отметке разрыв с ближайшим преследователем, мощной C2, составляет целую секунду. Урок суров, но здесь нужно сделать оговорку. С момента появления турбонаддува на серийных машинах журналисты-испытатели задаются вопросом, имеют ли их замеры еще какой-то смысл, так как различия между автомобилями одного типа порой бывают очень велики. Можно напомнить в связи с этим, что Sierra, которую мы испытывали в сентябре, порадовала нас результатами 13,9 и 26,0 с на тех же дистанциях, в то время как многие наши компетентные коллеги так и не смогли выйти из 27 секунд. Тем не менее, Sierra RS Cosworth использует свой момент, мощность и отличные тяговые возможности, чтобы превратиться в настоящий драгстер. Несмотря на меньшую мощность, BMW M3 удается идти практически вровень со своей заклятой кузиной C2, показывая 15,1 и 27,6 против 15,0 и 27,5 с. Здесь проявляются хорошая аэродинамика, безупречный зацеп и отличный подбор передаточных чисел официальной BMW. Тяжелая и значительно менее мощная модель 190 отброшена на позиции 15,5 и 28,5 с, и остается только желать, чтобы Mercedes поскорее исправил это положение дел, тем более что качества шасси этого вполне заслуживают.


В эластичности удивительная отзывчивость турбомотора проявляется еще ярче, и здесь Ford снова доминирует. В целом можно отметить уровень, на котором проходит состязание: при старте с 40 км/ч на 4-й передаче барьер в 30 секунд на километре легко преодолевается Sierra и C2. Шестицилиндровый мотор последней, кроме того, чувствует себя особенно уверенно на первых метрах этого испытания, доказывая свою отличную приемистость. Напротив, германо-британский двигатель Mercedes оказывается в самом невыгодном положении, тогда как мотор BMW M3 демонстрирует гибкость, редкую для атмосферника с 16-клапанной головкой.


РАСХОД ТОПЛИВА


В этой главе результаты очень близки и не требуют особых комментариев, кроме того, что сегодня можно передвигаться очень быстро за недорого благодаря прогрессу в области КПД двигателей и снижению сопротивления движению. В связи с этим можно заметить, что, за исключением C2, вынужденной мириться со слабыми аэродинамическими показателями 3-й серии, три других автомобиля демонстрируют значения коэффициента обтекаемости и площади лобового сопротивления, крайне интересные с учетом ограничений, накладываемых высокими характеристиками: например, широких шин и развитых каналов охлаждения. Касательно Alpina стоит знать, что на ближайшем Женевском автосалоне должна появиться существенно измененная 3-я серия. Она воспользуется уроками, извлеченными из разработки BMW M3.


Последняя также получила дополнительный топливный бак объемом 15 литров. Хотя он немного уменьшает объем багажника, он увеличивает запас хода, который достигает 470 км, с учетом 15 л на 100 км, израсходованных во время теста. В этой дисциплине она идет вровень со своим соперником номер один — Mercedes. В C2 же сохранен бак объемом 55 литров от 325-й модели, поэтому заправляться приходится каждые 340 км, что слишком часто. Но Alpina, к счастью, предлагает опцию бак объемом 93 литра. Запас хода Sierra также недостаточен, так как бак вмещает лишь 60 литров, а аппетит турбомотора (17 литров во время этого теста в бешеном темпе) ограничивает его 350 км.


ТРАНСМИССИЯ


Излишне уточнять, что все эти 4 спорткара оснащены 5-ступенчатыми коробками передач с четким и быстрым приводом, но полезно добавить, что все они также оснащены дифференциалом повышенного трения. В этом вопросе Ford находится в лучшем положении благодаря вискомуфте Ferguson, которая творит настоящие чудеса, обеспечивая удивительную тягу с учетом доступного момента и мощности. Напомним, что эта система предлагает преимущество переменной эффективности, которая варьируется практически от 0 до 100%. Остальные три оснащены классическими системами с эффективностью 25% для BMW M3 и C2 и 35% для 190. Последний, кстати, уже со следующего года будет оснащаться новой системой ASD. Этот новый тип самоблока также обладает переменной эффективностью от 0 до 100%, но, по словам инженеров Mercedes, его механический принцип работы надежнее вязкостных систем. А отключаясь на фазе замедления и торможения, он не мешает работе ABS и не создает проблем с недостаточной поворачиваемостью на входе в поворот, характерных для машин с нынешними классическими системами.


BMW M3: Здесь дебютирует новая спортивная коробка с картером из легкого сплава. Пятая передача здесь прямая, с передаточным числом 1, что позволяет достигать максимальной скорости при 7000 об/мин, тогда как предел оборотов установлен на 300 оборотов выше. Подбор первых 4 передач идеален: на отсечке достигаются соответственно 67, 103, 140 и 197 км/ч. Схема переключения также спортивная, с первой передачей вне основной сетки, слева внизу. Она, несомненно, самая быстрая и четкая в этом сравнении, тем более что педальный узел идеально подходит для приема перегазовки пяткой, который так любят активные водители для еще большей быстроты при переключениях вниз.


Ford Sierra RS Cosworth: Схема переключения классическая, привод немного тугой, но четкость остается хорошей. Мы достигли максимальной скорости при 6400 об/мин, но, как уже говорилось, ограничитель сработал слишком рано, и без этой проблемы мы, вероятно, достигли бы обещанных 240 км/ч. При 6500 оборотах на первой передаче достигается 65 км/ч, затем 98, 143 и 191 км/ч на последующих трех. Также можно заметить, что, как и на других Sierra и Scorpio — по крайней мере, тех, что оснащены V6, — педаль сцепления тяжеловата, что быстро начинает утомлять в пробках.


Alpina C2 2.7: Она вынуждена довольствоваться родной коробкой от 325i, чей подбор передаточных чисел несовершенен, в частности, из-за слишком коротких первых двух передач. Разумеется, большая мощность и отличная эластичность двигателя практически стирают провалы в ступенях трансмиссии 325-й. Эта проблема скоро станет лишь неприятным воспоминанием, так как производство спортивной коробки для 325-х началось в ноябре. C2, очевидно, могла бы получить эту новую КПП, хотя кажется, что на данный момент в Баварии ничего не решено. Пока же C2 упирается в ограничитель на 52 км/ч на первой передаче, что действительно мало при 210 л. с. под педалью, вторая достигает 90, третья 142 и четвертая, слишком длинная, 199 км/ч. Максимальная скорость достигается при 6000 оборотах, что на 200 выше оборотов максимальной мощности и на 600 ниже отсечки. Привод с классической сеткой мягкий и быстрый, как на 325-й.


Mercedes 190 E 2.3-16: Как и BMW M3, его сетка и коробка передач относятся к спортивному типу. Привод страдает несколько длинными ходами, но это не вредит ни четкости, ни быстроте, так как фиксация передач заметно мягче, чем на BMW. Несмотря на меньшую мощность, Mercedes может позволить себе тянуть более длинную 5-ю передачу, чем BMW M3, благодаря хорошей аэродинамике. Максимальная скорость достигается при 6300 оборотах, на 200 выше оборотов мощности. При отсечке на 7000 оборотах на первых четырех передачах получается соответственно: 61, 100, 142 и 200 км/ч. Ряд здесь также безупречен.


РУЛЕВОЕ УПРАВЛЕНИЕ


Эти 4 спорткара, разумеется, оснащены усилителем руля и обладают отлично спроектированными рулями с кожаной обивкой. Конечно, как и следовало ожидать, руль Mercedes всегда слишком велик, что могло бы мешать, если бы 190 не был так легок в управлении в спортивном режиме. С 2,5 оборотами от упора до упора рулевое управление Sierra является самым острым, но этого недостаточно для обеспечения безупречной точности. На самом деле виноват не рулевой механизм, а направляющий аппарат передней подвески. Речь идет о простом McPherson, то есть без нижнего треугольного рычага. По сравнению с другими собранными здесь машинами Sierra Cosworth не хватает точности, особенно на входе в поворот, где она страдает от недостаточной поворачиваемости, и на плохом покрытии, где ее курсовая устойчивость может создать реальные проблемы. Рулевое управление Alpina, остающееся аналогичным 325-й модели, страдает от сильных паразитных реакций на неровностях дороги, вызванных, по-видимому, жесткостью подвески. Подвеска BMW M3 оригинальная, в частности, с гораздо большим углом кастора, чем на 3-й серии, для улучшения курсовой устойчивости на высокой скорости. Наряду с Mercedes, BMW M3 обладает безупречным рулевым управлением.


ТОРМОЗА


Здесь снова само собой разумеется, что все они оснащены дисковыми тормозами на всех четырех колесах. У BMW M3 и Alpina даже задние диски вентилируемые, что, несомненно, объясняет их исключительную стойкость к перегреву, хотя нам не пришлось жаловаться и на тормоза двух других машин, за исключением более раннего появления запахов и дыма, свидетельствующих об интенсивном использовании на кольце. Все они также оснащены необходимой системой ABS. Bosch поставляет системы всем, кроме Ford, который доверяет Teves. Это также единственная машина, склонная к рысканью при резких торможениях на высокой скорости. Причиной этой проблемы, вероятно, является несовершенство направляющего аппарата передней оси. В любом случае, мощность системы и информативность педали позволяют тормозить столь же поздно, сколь и точно.


УПРАВЛЯЕМОСТЬ


В категории ультраспортивных автомобилей дорожные манеры занимают ключевое место в техзадании. Управляемость должна быть не просто надежной, что совершенно необходимо с учетом скоростей, достигаемых всего через несколько сотен метров разгона, — она должна быть эффективной. Эффективность выражается в скорости прохождения поворотов. Но от спорткара можно также требовать, чтобы он был приятным или даже захватывающим в вождении. Так, Mercedes, несомненно, дарит наибольшее удовольствие от вождения, несмотря на свои показатели, заметно уступающие трем другим болидам. Легкость и эффективность — так можно резюмировать его поведение на извилистой дороге. Ни малейшего намека на недостаточную поворачиваемость на входе, мгновенная реакция передней оси — и нос 190 немедленно оказывается там, где вы хотели. Остается лишь нажать на газ и постепенно корректировать рулем выход из поворота в полном ускорении в идеально стабилизированном заносе. Настоящее наслаждение для пилота, который может по своему желанию увеличивать или уменьшать угол дрифта, просто работая рулем и газом.



В BMW тоже обязаны были добиться не худших результатов, чем Mercedes. Поэтому BMW M3 также исключительно эффективна, но она, пожалуй, чуть менее покладиста. На входе в поворот, например, сохраняется тень недостаточной поворачиваемости, что требует от водителя более резкого и точного жеста, чтобы наверняка инициировать занос. Последний контролируется здесь тоже очень легко, и удовольствие от вождения гарантировано.



Потрясающе эффективная при умелом управлении, Alpina, тем не менее, труднее в укрощении. Будучи ярко выраженным приверженцем избыточной поворачиваемости, она требует от водителя гораздо большего внимания, подстерегая его разворотом за любой избыток оптимизма. Осознавая проблему, баварские техники решили увеличить размерность шин на задней оси для моделей C2 1987 года. Покрышки 225/45 VR 16 заменят 205/50 VR 16, стоявшие на нашей тестовой машине. Это наверняка уменьшит склонность задней оси к отклонению от траектории, но вряд ли решит проблему нехватки прогрессивности. Тем не менее, удовольствие опытного водителя может быть лишь подогрето этими относительными трудностями.



Как мы упоминали выше, Sierra страдает от недостаточно точного направляющего аппарата передней оси. Это выражается в заметной недостаточной поворачиваемости на входе, с которой приходится энергично бороться, буквально заправляя машину внутрь. В таких условиях точность следования траектории довольно случайна. Однако как только Sierra RS Cosworth встала на дугу, обилие момента и мощности позволяет проходить виражи в лучшем виде, контролируя занос педалью газа. Если это справедливо для сухого покрытия, то на мокром Sierra становится по-настоящему пугающей. Становится действительно трудно совладать с пробуксовкой колес, вызванной молниеносными взлетами оборотов этого удивительного мотора. Каждое ускорение может сопровождаться неуместным срывом задней оси, причем даже на третьей передаче. Тем не менее, исключительный потенциал динамики наделяет Sierra особо притягательным характером и позволяет, по крайней мере, отыгрывать на прямых время, потерянное в поворотах.



КУЗОВ


Еще несколько лет назад подобные динамические показатели могли быть присущи разве что двухместным купе или машинам с посадочной формулой 2 + 2, обладающим стремительными и агрессивными очертаниями. Сегодня же речь идет о седанах, в которых четверо взрослых могут разместиться с большим или меньшим комфортом. И в этом отношении именно Sierra демонстрирует самые щедрые параметры внутреннего пространства, особенно сзади, где двое взрослых действительно могут без тени сомнения отправиться в путешествие на несколько сотен километров. При этом речь идет о двухдверном кузове, как и у BMW M3. Alpina C2 доступна в двух- или четырехдверном исполнении, в то время как Mercedes, как известно, существует только в версии с четырьмя дверями.


Самые радикальные изменения во внешности коснулись BMW M3 и Sierra. Все так же заботясь о своем гоночном будущем, BMW получила сильно расширенные стальные крылья, размер которых позволяет устанавливать будущие 10-дюймовые колеса. Спереди и сзади установлены новые бамперы из стекловолокна, спроектированные с учетом всех норм безопасности, действующих в мире. В обоих случаях бампер объединен с юбкой, выполняющей роль спойлера. Пороги дополнены накладками, а задняя часть была полностью переработана по сравнению с базовой 3-й серией. Заднее стекло установлено под большим наклоном, крышка багажника приподнята на 40 мм и увенчана антикрылом, которое вновь заставляет вспомнить о 190. Все эти модификации привели к заметному улучшению коэффициента аэродинамического сопротивления Cx, который теперь составляет 0,33. Они также позволили улучшить курсовую устойчивость на высоких скоростях, снизив подъемную силу до значений, близких к нулю: 0,12 спереди и 0,04 сзади.


Но в этой дисциплине Sierra удается достичь еще больших успехов, так как ее гигантское заднее антикрыло создает прижимную силу на задней оси. Ее коэффициенты Cz составляют 0,14 спереди и -0,04 сзади. Для улучшения обтекаемости она также была оснащена внушительным передним спойлером, накладками на пороги и расширителями арок. Результат поражает своей агрессивностью, и, мягко говоря, остаться незамеченным на такой машине невозможно. Последние штрихи, от которых не отказался бы сам Безумный Макс, — это две прорези на капоте, предназначенные для охлаждения турбины и подачи воздуха к интеркулеру. На их фоне Mercedes и Alpina выглядят паиньками. Несмотря на спойлер, антикрыло, расширенные колесные арки и накладки на пороги, придающие ему боевой вид, 190 E 2.3 16 сохраняет класс, характерный для автомобилей из Штутгарта. Alpina C2, в свою очередь, довольствуется не самым аэродинамичным кузовом 3-й серии. Заниженная, с впечатляющим передним спойлером и великолепными 16-дюймовыми дисками, она излучает сдержанную мощь.


КОМФОРТ


Комфорт подобных спорткаров следует оценивать по критериям, несколько отличным от тех, что обычно применяются к рядовой продукции автопрома. По сравнению с купе, которые до сих пор удерживали монополию на подобные специфические спортивные качества, очевидно, что этот новый тип седанов дает любителю быстрой езды нечто большее. Не говоря уже о несравненном просторе в салоне, их характеристики комфорта в целом оказываются выше. Лишь Alpina выделяется особо жесткой подвеской, которая плохо подходит для неспешных прогулок на малой скорости. Остальные три машины, напротив, проявляют себя чрезвычайно послушными и внимательными к пассажирам — разумеется, с учетом их призвания и способностей к активному вождению. Посадка водителя в BMW M3 наиболее совершенна и лучше всего подходит для управления в предельных режимах. Все автомобили оснащены отличными ковшеобразными сиденьями, но отдельного упоминания заслуживает Alpina C2, чьи кресла Recaro поистине безупречны. Что касается уровня шума, то здесь побеждает Mercedes, немного опережая BMW M3, в то время как Sierra показалась нам откровенно шумной уже после 140 км/ч. Та же проблема и у Alpina, но ее великолепная шестерка выдает столь мелодичный звук, что от него невозможно устать.


ОСНАЩЕНИЕ


Что касается оборудования, то если во Франции 190-й серийно оснащается электростеклоподъемниками всех четырех дверей (в Бельгии — опция), то остальные три машины имеют фиксированные задние стекла, что выглядит весьма скупо для автомобилей такой стоимости. Это замечание, очевидно, не касается четырехдверной версии Alpina. Оставим в стороне электрозеркала и центральный замок (последний — опция для Sierra на бельгийском рынке), которыми, разумеется, оснащены все четыре машины, и отметим, что BMW M3 выделяется наличием очень продвинутого бортового компьютера (такого же, как на 7-й серии). Alpina, в свою очередь, предлагает аудиосистему очень высокого качества. За исключением Sierra, все автомобили в стандартной комплектации, по крайней мере для французского рынка, оснащены противоугонной сигнализацией. В Бельгии, также кроме Sierra, эти системы являются опцией для BMW и Mercedes.


Alpina также является единственной, кто предлагает по-настоящему полный набор контрольных приборов. Цифровой блок занял место в одном из центральных дефлекторов вентиляции, не перекрывая его полностью, и включает указатели температуры и давления масла в двигателе, температуры масла в редукторе и давления во впускном коллекторе. На другом полюсе — Sierra, сохранившая практически приборную панель базовой версии: простой указатель температуры воды рядом с тахометром, лишенным красной зоны. Это выглядит откровенно грустно. BMW M3 лишилась эконометра, привычного для 3-й серии, заменив его указателем температуры масла. Жаль, что отсутствует указатель давления. В Mercedes решили твердо придерживаться фирменного стиля, и, кроме указателя температуры масла и вольтметра, расположенных на центральной консоли в слепой зоне, все соответствует традициям. Отметим также, что BMW M3 и 190-й оснащаются омывателями фар серийно для Франции, но в качестве опции для Бельгии.



ВЫВОДЫ


BMW M3: Могли возникнуть подозрения, что BMW просто скопировала Mercedes. Вынужденная сделать лучше, мюнхенская фирма блестяще выполнила свою задачу. Ответ Штутгарта будет весьма интересен. А пока BMW M3 — это подлинный спортивный автомобиль, потрясающе сбалансированный. Его двигатель позволяет ехать на 1200 оборотах на 4-й передаче или неистово реветь на отметке свыше 7000 об/мин. Его 200 л. с. обеспечивают динамику выше, чем у 190-го. Удовольствие от вождения от этого только возрастает благодаря подчеркнуто спортивному и эффективному поведению на дороге.


Ford Sierra RS Cosworth: Впечатляющие ускорения, дикий характер, который нужно укрощать, и, прежде всего, непревзойденное соотношение цены и динамики — у RS Cosworth достаточно аргументов, чтобы влюбить в себя. Не лишена она и несовершенств, но очевидно, что любитель острых ощущений смирится с нестабильной управляемостью или приборной панелью, недостойной такого спорткара, ради возможности в полной мере насладиться действительно исключительным мотором.


Alpina C2 2.7: Великолепный двигатель с завораживающим звучанием, характер управляемости, требующий серьезных навыков пилотирования, и очень богатое оснащение — Alpina остается выбором для знатоков. Ведь под привычным обликом скрывается потенциал, который долгое время оставался непревзойденным. Став настоящим первопроходцем в категории ультраспортивных седанов, Alpina сегодня дождалась прихода крупных производителей. Это доказательство того, что в Бухлоэ смотрели в верном направлении.


Mercedes 190 E 2.3-16: Став попыткой доказать мастерство марки в малознакомом для нее жанре, 16-клапанный 190-й является полноценным спорткаром, внушающим уважение. Он, несомненно, послужил ориентиром для BMW, и именно на него мы ссылались на протяжении всего теста, чтобы судить об остальных. Его поведение на дороге остается абсолютным эталоном, но сейчас ему не хватает добрых пятнадцати лошадиных сил и лучшей отзывчивости мотора на низких и средних оборотах. Совсем немного, на самом деле, чтобы он мог на равных соперничать с BMW в чисто спортивном плане. Зато его аристократичный облик, комфорт и истинно мерседесовская атмосфера придают ему особое очарование.




ДИНАМИЧЕСКИЕ ХАРАКТЕРИСТИКИ



ТЕХНИЧЕСКИЕ ХАРАКТЕРИСТИКИ




0 0 0

Коментарі

Щоб залишати коментарі, потрібно авторизуватись.