Перевод теста-сравнения BMW E24 M635 CSi vs BMW E28 M5 от бельгийского автомобильного журнального издания Le Moniteur de l’Automobile, № 849, Июнь, 1986.
М КАК НЕОБХОДИМОСТЬ*
Седан или купе, создания департамента Motorsport отстаивают имидж марки BMW. Такие же быстрые, как большинство GT с престижными названиями, они также функциональны, комфортабельны и легки в управлении. Если бы не существовало Альпины, мы бы воскликнули о гениальности.
_______________________
*Оригинальное название статьи "M COMME MUST"
Спортивный имидж марки BMW несомненно переживал взлеты и падения. Появление новых 325i и 325iX, присутствие M5 и M635 CSi в гамме напротив, безусловно, способствовали восстановлению репутации, которая имела тенденцию тускнеть с умножением слишком классических дизельных версий и трансмиссий экономичного типа. Можно было даже подумать, что работа небольших производителей, таких как Alpina или Hartge, над автомобилями из Мюнхена позволяла заводу сохранять лицо.
С «коллекцией» M эти небольшие производители, которых можно было считать союзниками BMW, теперь находятся в прямой конкуренции с департаментом Motorsport из Мюнхена. После остановки программы M1 доступность людей и материалов позволила разработать автомобили, более близкие к серийному ряду, и, таким образом, доказать мастерство техников не только на гоночных трассах, и несколько реабилитировать имидж продукта. Хотя сказочная BMW M1 отправилась в музей, к счастью, этого не произошло с ее великолепным 6-цилиндровым 24-клапанным двигателем, повторное использование которого было настоятельно необходимо. Установив его в 6-ую серию, баварская марка предлагает альтернативу Mercedes 500 SEC и другим Porsche 928 S, а создав M5, Motorsport вступает на рынок ультраспортивных седанов, где Alpina и Hartge до сих пор пользовались ситуацией квазимонополии.
286 лошадиных сил
Разработанный для установки на купе M1 с центрально расположенным сзади двигателем, 6-цилиндровый двигатель с двумя распределительными валами является производным от хорошо известного 3,5-литрового двигателя мощностью 218 л.с. Он сохранил прежний рабочий объем 3453 см3. Известно, что при появлении 745i второго поколения диаметр цилиндра и ход поршня были изменены в соответствии с адаптацией турбонагнетателя. Диаметр цилиндра был уменьшен с 93,4 до 92 мм, а ход поршня был увеличен с 84 до 86 мм. В атмосферной версии, как и с турбонагнетателем, «базовый» 6-цилиндровый двигатель имеет рабочий объем 3430 см3 против 3453 см3 у двигателя, который нас здесь интересует.
Хотя размеры не оставляют сомнений в его происхождении, 3,5-литровый двигатель, разработанный в Motorsport, не является простой модификацией, а представляет собой полноценный двигатель. Его блок цилиндров специфичен, он является объектом тщательной работы, особенно на уровне гильз цилиндров и плоскостей соединений, его облицовка изменена для улучшения смазки, его шатуны и поршни специфичны с особым вниманием к снижению разницы в весе, а самым ценным элементом, безусловно, является великолепная 24-клапанная головка блока цилиндров, управляемая двумя верхними распределительными валами. Последние приводятся в движение цепью.
По сравнению с M1, которая довольствовалась механическим впрыском, этот двигатель прибавил 9 лошадиных сил благодаря оснащению системой управления зажиганием и смесеобразованием Bosch Motronic. Однако он потерял систему смазки с сухим картером и получил более классическую схему с секционным картером из легкого сплава. Масло, очевидно, охлаждается в радиаторе.
Мощность достигает 286 л.с. при 6500 об/мин, в то время как кривая крутящего момента достигает пика при частоте вращения 4500 об/мин со значением 340 Нм. Таким образом, литровая мощность достигает 82,8 л.с./л, что является впечатляющей цифрой для серийного атмосферного двигателя. Вся трансмиссия также является общей для обеих моделей. Коробка передач имеет идеально подобранные передаточные числа. Она позволяет достигать примерно 60, 100, 150 и 200 км/ч на первых 4-х передачах.
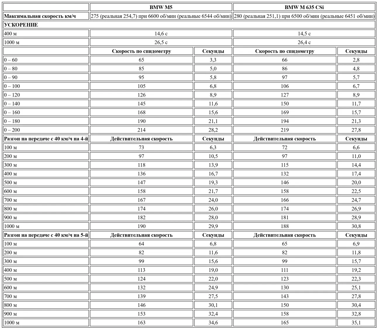
Более 250 км/ч
Поскольку двигатель и трансмиссия идентичны у обеих моделей, различия в динамических характеристиках, очевидно, очень незначительны. По словам производителя, более быстрым должно быть купе. Хотя оно немного тяжелее, оно немного более аэродинамично с коэффициентом SCx 0,77 против 0,79 у седана. Эти значения в любом случае остаются очень посредственными, в частности, из-за явно анахроничного коэффициента формы 0,39 для одной и 0,40 для другой. На весах мы, со своей стороны, обнаружили лишь разницу в 20 кг в пользу M5 (1514 против 1534 кг), и результаты наших замеров времени не дают M6 превосходства, заявленного заводом. Правда, состояние свежести наших автомобилей было неодинаковым: M5 была почти новой (но хорошо обкатанной), в то время как серия 6 уже показывала пробег почти 20000 км тестовой эксплуатации. Кроме того, мы не смогли замерить их в один и тот же день, и атмосферные условия также могут оказывать небольшое влияние на показатели динамики, особенно в том, что касается разгона на передаче, который очень чувствителен к скорости и направлению ветра.
Короче говоря, на максимальной скорости незначительное аэродинамическое преимущество купе не проявляется, в то время как отличное состояние седана, который был в нашем распоряжении, очевидно, поскольку последний достиг почти 255 км/ч при 245 заявленных производителем, а M6 немного отстала с 251 км/ч против 255 обещанных. В разгоне — практически ничья, поскольку купе преодолевает отметку в километр за 26,4 с, как и ожидалось, в то время как седан подтверждает свою исключительную форму, показывая 26,5 с при 26,8 заявленных.
Хотя этих характеристик более чем достаточно для полного удовлетворения энтузиастов, следует отметить, что «официальные» автомобили BMW заметно отстают от творений Alpina того же типа. B7 Turbo, которую мы тестировали прошлым летом, порадовала нас максимальной скоростью более 260 км/ч и временем 25,3 с на километре с места, что заставляет задуматься. Причиной этого различия является немного более высокая мощность, 300 л.с., и, главное, огромный крутящий момент 451 Нм при 4000 об/мин, обеспечиваемый наличием турбонагнетателя.
В разгоне на передаче преимущество турбонагнетателя еще более очевидно, поскольку, стартуя с 40 км/ч на 4-й передаче, B7 прошла километр за 27,9 с, что на 2 секунды быстрее, чем M5, которая, в свою очередь, опережает M6 почти на секунду. Но помимо этих цифр, необходимо все же уточнить, что атмосферный двигатель более приятен в эксплуатации на низких оборотах, даже если он действительно проявляет себя только с 4000 об/мин. Там он чувствует себя совершенно комфортно и дает об этом знать, сильно разгоняясь и меняя звук.
Спортивная, но спокойная
Оснастив 5-ую серию самой высокой мощностью, доступной в гамме, BMW в некотором смысле доказывает, что ее седан, несмотря на свой возраст, остается достаточно надежным, чтобы принять значительное увеличение характеристик, что должно побудить считать, что все версии этого семейства обладают хорошей устойчивостью, тем более, когда их двигатель довольствуется на 100 или 150 л.с. меньше. Фактически, техники Motorsport проделали значительную работу над подвеской, и мы уже знали, поскольку ранее управляли автомобилями Alpina, что 5-ая серия представляет собой очень хорошую основу. Необходимо адаптировать ее подвеску и обеспечить ее соответствующими шинами.
Спортивная подвеска «M Technic» состоит, таким образом, для серии 5, как и для серии 6, в частности, из более жестких пружин, газовых амортизаторов, стабилизаторов поперечной устойчивости большего диаметра и некоторых специфических элементов направляющего аппарата. Обе машины оснащены отличными шинами Michelin TRX, размером 220/55 VR 390 для 5 и 240/45 VR 415 для 6. В обеих автомобилях идеальная устойчивость на прямой позволяет достигать максимальной скорости без малейших забот, что оставляет разум свободным для концентрации всего внимания на дороге и трафике, что необходимо при скорости более 250 км/ч. Идеально ограниченный контроль движений кузова, наличие самоблокирующегося дифференциала с 25% эффективностью и качество высокопроизводительных шин объединяются, чтобы удивительным образом уменьшить проблемы с тягой, которые обычно встречаются на автомобилях заднего привода.

Как в седане, так и в купе, легкость управления позволяет почти каждому проходить повороты на автомагистрали на скоростях, значительно превышающих установленные законом. Однако, хотя допустимая ошибка, предоставленная превосходным общим поведением этих автомобилей, достаточна, все же запрещено действовать безрассудно, поскольку эти BMW пока не имеют 4-х ведущих колес и сохраняют ярко выраженный спортивный характер заднего привода. Резкий сброс газа или несвоевременное торможение, резкие нажатия на педаль газа на мокром покрытии немедленно наказываются срывом задней оси, что вызывает тревогу у неподготовленного водителя.
С другой стороны, если говорить о пилотировании, можно еще больше упомянуть легкость, при условии наличия минимального багажа знаний в этой области. Несмотря на свой высокий вес, M5 и M6 демонстрируют отличную маневренность, никогда не становясь недостаточно поворачиваемыми благодаря очень острой передней оси, в то время как снос задней оси, который постепенно появляется при разгоне, может, благодаря мгновенному отклику двигателя, модулироваться педалью акселератора по мере необходимости, чтобы «обволакивать» повороты с минимумом корректировок рулевым колесом.
Между купе и седаном различия незначительны. Более тяжелая и громоздкая серия 6 может считаться лишь немного менее маневренной в узких поворотах.
Высокий вес и очень высокие характеристики подвергают тормозную систему серьезному испытанию. На трассе выносливость M635 показалась нам даже недостаточной, в то время как серия 5 лучше выдержала испытание. Помимо небольших различий в весе, возможно, проблема заключается в охлаждении передних дисков, которое могло быть лучше на седане. Но впечатляющая мощность системы и наличие — необходимой — ABS, все же позволяют водить очень быстро в полном спокойствии.
Приятно шумные
Идеальная посадка водителя, мелодичный шум силового агрегата, точность и быстрота переключения коробки передач — все это аспекты, которые призывают к энергичному вождению, даже если эластичность 6-цилиндрового двигателя легко уживается с движением в колонне на 4-й передаче. Таким образом, комфорт явно спортивного типа: пение двигателя быстро заполняет салон на высокой скорости, а подвеска довольно резко реагирует на низкой скорости. Однако компромисс между комфортом и устойчивостью остается образцом в своем роде, поскольку, как только достигается определенный темп, подвеска мягко поглощает все виды неровностей.
Оснащение, очевидно, соответствует запрашиваемой цене, и M5 и M6 в частности серийно оснащены кондиционером, электрическими стеклоподъемниками спереди и сзади, а также необходимой противоугонной сигнализацией, соединенной с ненарушаемым центральным замком. Кожаная обивка тем не менее остается в каталоге опций. Кроме того, она гораздо дороже на M5, которая является продуктом чисто Motorsport, полностью собранным в этой мастерской, в отличие от M6, которая сходит с конвейеров заводов BMW. Электрическая регулировка сидений доступна только, если согласиться отказаться от великолепных Recaro, превосходных по комфорту и поддержке, что действительно не рекомендуется.
Седан или купе? Одна незаметна и строга, несмотря на более объемные бамперы, более широкие шины и эмблемы, другая особенно красива, но менее незаметна. Она также менее функциональна, чем серия 5, которая может вместить 4 или 5 спешащих пассажиров, даже если задние места серии 6 тоже очень хорошие как для кузова купе. Но именно под капотом скрывается весь интерес этих фантастических автомобилей, которые, несомненно, достигают совершенства. Благородство их силовых агрегатов таково, что можно подумать об отказе от мощности турбированной версии, разработанной в Alpina, просто для того, чтобы насладиться сказочным пением 24-клапанного двигателя.
ЦЕНЫ, ОПЦИИ, ОСНАЩЕНИЕ
ДИНАМИЧЕСКИЕ ХАРАКТЕРИСТИКИ
ТЕХНИЧЕСКИЕ ХАРАКТЕРИСТИКИ